이전까지 제가 해왔던 자산배분 전략은 서로 다른 상관관계를 갖는 자산군을 모아서 포트폴리오를 구성하고 주기적으로 리밸런싱 하는 정적 자산배분 전략이었습니다.
정적 자산배분 전략을 통해 연금 계좌를 안정적으로 운용해오다, 우연히 동적 자산배분 전략에 대해서 알게 되었고, 흥미를 가지게 되었습니다. ('정적'이 있으면 당연히 '동적'도 있을거란 생각을 왜 못 했는지...;;)
아무튼 위의 영상을 포함해서 동적 자산배분 전략에 대한 여러 자료를 찾아보니 동적 자산배분도 정적 자산배분처럼 장기간의 시계열에서 안정적인 MDD와 준수한 수익률을 보이는 것을 알게 되었습니다.
그래서 저도 이번에 제 자산의 일부를 동적 자산배분 전략, 그중에서도 VAA(Vigilant Asset Allocation) 전략으로 운용해보기로 했습니다.
일단 VAA 전략에 대해 간단히 알아보자면 이 전략은 네덜란드의 바우터 켈러(Wouter J. Keller)라는 분이 고안한 여러 동적 자산배분 전략 중 하나인데요, 이 분이 고안한 다양한 전략들 중 수익률이 가장 높은 전략이라고 합니다.

이 전략은 절대 모멘텀과 상대 모멘텀을 결합한 형태의 듀얼 모멘텀을 가지고 투자 전략을 수립하게 됩니다.
구체적으로 살펴보면, 일단 아래의 7개 자산을 공격 자산과 수비 자산으로 나눕니다.
(추종지수가 같다면, 아래 ETF 대신 다른 ETF로 구성해도 무방할 것으로 보입니다.)
- 공격 자산 : SPY(미국 주식), VEA(선진국 주식), VWO(이머징 주식), AGG(미국 총채권)
- 수비 자산 : SHY(미국 단기국채), IEF(미국 중기국채), LQD(미국 회사채)
그리고 각 자산의 모멘텀 수치를 구한 후, 공격 자산과 수비 자산 중 어느 쪽에 자산을 분배할지를 정하게 됩니다.
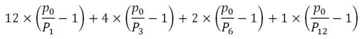
스코어라 불리는 모멘텀 수치는 각 자산별로 계산을 하게 되는데, 최근 1, 3, 6, 12개월간의 자산 가격의 상승률을 합산하되, 최근 개월의 상승률에 더 큰 가중치를 주는 방식입니다.

위의 식과 같이 최근 1개월 동안의 상승률에 12배의 가중치가 주어지고 3개월, 6개월, 12개월 동안의 상승률에 대해서는 4, 2, 1배의 가중치를 두게 되는 것입니다.
이렇게 각 자산군의 스코어를 구한 다음에는 아래의 로직으로 자산 배분을 진행합니다.
- 네 개의 공격 자산의 스코어가 모두 양수(+)인지 확인한다. (절대 모멘텀)
- 모든 공격 자산의 스코어가 양수이면, 이 중에 가장 스코어가 높은 자산군에 배분한다. (상대 모멘텀)
- 하나라도 스코어가 음수(-)인 공격 자산이 있으면, 수비 자산군 중 가장 스코어가 높은 자산군에 배분한다.
아래는 작년 11월 말과 현재 각 자산군의 스코어를 계산한 것입니다.

11월 말에는 VEA(선진국 주식), VWO(신흥국 주식)의 스코어가 마이너스여서, 수비 자산 중 가장 모멘텀이 높은 IEF(미국 중기채)가 선택되었습니다.
1월 현재는 VWO(신흥국 주식)과 AGG(미국 총채권)이 마이너스라 역시나 수비 포지션이고 SHY(미국 단기채)가 가장 스코어가 높네요. (수비 자산군이 모두 마이너스인 경우에도 이 중에 가장 스코어가 높은 자산에 배분합니다.)
전략에 따라, 지난 11월 말에 IEF(미국 중기채)을 매수해서 오늘까지 약 한 달간 보유하고 있었는데, 지난 한 달간은 IEF가 1% 정도 가격이 내려서 수익률은 마이너스를 기록했습니다.
이 전략의 경우, 증시가 대세 상승장일때보다 모멘텀을 잃고 대폭락(market crash)을 겪을 때 진가를 발휘한다고 합니다.
일단 전략을 유지하여 오늘 IEF를 전량 매도하고 SHY를 매수했는데, 이번 한 달은 어떨지 한 달 후에 다시 확인해보겠습니다.
그럼 이만~
'💸 경제, 금융 > 투자 일지' 카테고리의 다른 글
| [코인] 가상화폐 투자 입문기 - 3. 비영구적 손실에 대한 고민 & 국내 예치 서비스 (클레이스왑) (2) | 2022.01.09 |
|---|---|
| [코인] 가상화폐 투자 입문기 - 2. 코인 거래에 필요한 계정 가입 & 지갑 만들기 (1) | 2022.01.05 |
| 2021년 12월 연금저축펀드 수익률 현황 (운용 409일 째) (1) | 2021.12.28 |
| 2021년 11월 연금저축펀드 수익률 현황 (운용 377일 째) (0) | 2021.11.26 |
| 연금저축펀드 1년 운용 성과 확인 (0) | 2021.11.12 |
댓글